T I P P Recht - Opal Versicherungsmakler

Direkt zum Seiteninhalt

Hauptmenü

T I P P Recht

T I P P !
 

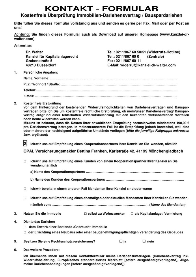
Als besonderen Service für unsere Kunden bieten wir nun auch in Zusammenarbeit mit der Rechtsanwaltskanzlei

                                                                             DR. WALTER
                                                                Kanzlei für Kapitalanlagerecht

die kostenlose und unverbindliche Erstprüfung aller Darlehens- und Bausparverträge, welche
                                                                
                                                               ab November 2002 bis Ende 2011


geschlossen wurden.

Wie die Auswertungen zeigen, sind ca. 85% der bestehenden Darlehensverträge rechtlich fehlerhaft.

Genauere Infomationen gibt es hier:
(Bitte auf die Bilder klicken!)


 
 
 
 

                    Um das aktuelle Kontaktformular für die kostenlose und unverbindliche Ersteinschätzung auszudrucken,
                                                                                  klicken Sie bitte auf das Dokument
!


 
Zurück zum Seiteninhalt | Zurück zum Hauptmenü